Hello, my name is Taro.
In my last article, I wrote about frequency accuracy of clock generators, and this time I will write about matching of crystal resonator.
When using a crystal resonator as a reference for a clock generator, the matching process, such as selecting a capacitor according to the load capacitance of the clock generator, is very important.
Differences between Crystal resonator and Crystal oscillator
First, we will explain the difference between a crystal resonator and a crystal oscillator.
A crystal oscillator outputs a clock signal by inputting a power supply, so it can output a clock signal by itself.
A crystal oscillator is required for ICs such as FPGAs that cannot configure a crystal oscillator circuit inside the IC or ICs that require a clock signal supply. The disadvantages of crystal oscillators compared to crystal resonator are that they are more expensive and have a larger package size.
Since quartz crystal resonator do not have a crystal oscillator circuit, they cannot output clock signals by themselves. In order to output clock signals, a crystal oscillation circuit must be configured.
However, because of this, crystal oscillators are less expensive than crystal oscillators and have a smaller package size.
Therefore, when used as a source oscillator for ICs that have an internal crystal oscillation circuit, such as clock generator ICs and CPUs, crystal resonator can often offer more advantages.
As described above, there are advantages and disadvantages to crystal resonator and crystal oscillators, so they must be used on a case-by-case basis.
Crystal Oscillator Circuit Configuration
Now, let's get down to the main issue. What is the structure of the crystal oscillation circuit required for crystal resonator? The CMOS gate type crystal oscillation circuit and the role of each element are shown below.
CMOS gate type crystal oscillation circuit
Rd : Limiting resistor - prevents excessive current from flowing into the crystal resonator.
Rf : Feedback resistor - feeds back current from the inverter output side to sustain oscillation.
Cg : External capacitor - adjusts negative resistance, excitation level and oscillation frequency.
Cd : External Cd : External capacitor - adjusts the negative resistance, excitation level, and oscillation frequency.
A crystal resonator can also be considered as an equivalent circuit as shown in the figure below. Since quartz crystal can be treated as an equivalent circuit as shown in the figure below only at a specific frequency, it can be said that its frequency stability is higher than that of LC oscillation circuit.
The data sheet of the crystal resonator lists the values of C0 and frequency stability, and matching is performed based on these values. In the matching process, theoscillation frequency is adjusted, the oscillation margin is adjusted, and the excitation level is adjusted. Each adjustment method is described below.
Adjustment of oscillation frequency
Adjustment of the oscillation frequency is performed by matching the load capacitance CL with an external capacitor.
The relationship between frequency deviation and load capacitance is shown in the following equation.
F : Oscillation frequency of crystal resonator
dF : Difference between oscillation frequency of crystal resonator and actual frequency
The load capacitance CL is calculated by the following equation.
Cs : Oscillation frequency of crystal resonator
By adjusting the values of Cg and Cd, the load capacitance of the crystal resonator and the load capacitance of the crystal oscillation circuit are matched.
How does this load capacitance affect the frequency deviation?
The graph below shows the relationship between frequency stability and load capacitance.
Relationship between frequency deviation and load capacitance
This graph shows that the frequency accuracy can vary greatly depending on the value of load capacitance CL. Depending on the value of
r, an error of 1 pF in load capacitance can cause a frequency deviation of 29 ppm, indicating that capacitance matching is important regardless of the frequency accuracy listed in the data sheet . This shows that capacitance matching is important regardless of the frequency accuracy listed in the datasheet.
The larger the load capacitance, the smaller the frequency deviation and the higher the frequency accuracy.
However, as quartz crystal resonator have become smaller, the load capacitance has become smaller.
In addition, a large load capacitance does not necessarily guarantee a stable clock signal due to a combination of oscillation margin and excitation level as described below.
Adjustment of Oscillation Margin
The oscillation margin represents the ability of the crystal oscillation circuit to oscillate the crystal resonator.
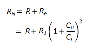
The oscillation allowance is determined by the equivalent resistance Re of the crystal oscillation circuit including the negative resistance RN and the crystal resonator.
Here, the negative resistance is a resistance with a negative value that does not actually exist, which is created when the crystal oscillation circuit is configured.
To measure the negative resistance, a variable resistor R is inserted into the crystal oscillation circuit as shown in the figure below.
The resistance value of the variable resistor is increased, and the resistance value when it stops oscillating becomes the resistance value of the negative resistance.
The relationship between the negative resistance R, the inserted resistance RN, and the equivalent resistance Re of the crystal oscillation circuit is shown in the figure below.
CMOS gate type crystal oscillation circuit
RN : Negative resistance
Re : Resistance at load connection
R : Insertion resistance
The oscillation margin is expressed as RN / Re. If the oscillation margin value is 5 or more, the clock is output stably.
If the oscillation margin is small, the crystal does not oscillate and the clock may not be output.
To improve the oscillation margin, it is necessary to increase the value of RN and decrease Re.
There are two ways to increase the value of RN.
The first is to reduce the value of the external capacitor.
However, if the external capacitor is made smaller, it may not be matched with the load capacitance of the crystal resonator.
When reducing the value of the external capacitor, it is necessary to take into consideration the frequency accuracy.
The second is to reduce the value of the limiting resistor.
Since lowering the value of the limiting resistor will increase the current flowing into the crystal resonator, it is necessary to consider the balance with the excitation level.
In addition, to reduce the Re value, the crystal resonator itself must be modified, so the crystal resonator vendor should be consulted.
Adjustment of Drive Level (DL)
Finally, the excitation level is explained.
The drive level represents the power applied to the crystal.
The excitation level is specified in the data sheet of the crystal and is measured in watts (W).
The excitation level DL is expressed by the following equation
I: Current flowing through the crystal
If the excitation level is higher than the value specified in the data sheet, an excessive current will flow to the crystal resonator, which may lead to crystal damage.
Care should be taken not to apply power to the crystal resonator above the maximum excitation level.
Can a crystal oscillation circuit be configured in an FPGA?
Unfortunately, it is not possible to configure a crystal oscillation circuit inside an FPGA and attach a ccrystal resonator externally, because the inverter in an FPGA is a logic inverter and is not suitable for exciting the output of a crystal resonatort as an amplifier circuit.
Even if a crystal oscillator circuit could be built within the FPGA to provide a clock output, the clock would be unstable and unreliable. Examples of unreliable clock failures include oscillation stopping when the temperature changes and oscillation occurring when the board is touched.
The crystal oscillation circuit must operate correctly as an analog amplifier, and the characteristics of the crystal oscillation circuit are largely dependent on active elements such as ICs.
Conclusion
As mentioned above, the design of crystal oscillation circuits involves a complex interplay of various factors.
The use of multiple crystal oscillators requires matching each of them, which increases the man-hours required. Another option is to use a crystal oscillator, but this is inevitably more expensive than crystal resonator.
Other clock buffers are also available, so please feel free to contact us for more information.
New Engineer's Blush Blog Article List